DERET ARITMATIKA
Materi Matematika Wajib Kelas XI SMA Negeri 1 Tanjung Batu
Oleh
Ustadz MUTTAQIN Anang Toha, ST
(U. M. A. T.)
Sesungguhnya Allah mencintai orang-orang yang berperang di jalan-Nya dalam barisan yang teratur, mereka seakan-akan seperti suatu bangunan yang tersusun kokoh.
(QS. Ash-Shaff Ayat 4)
Deret Aritmatika merupakan penjumlahan dari suku-suku suatu barisan aritmatika.
Bentuk umum deret aritmatika ialah:
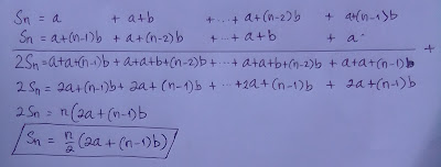
U1 + U2 + U3 + … + Un-1 + Un = Sn
Dengan Sn= jumlah deret sampai suku ke-n dan n = 1 , 2, 3, …
Karena rumus suku ke-n (Un) dari barisan aritmatika adalah Un = a + (n-1)b, atau
U1 = a+(1-1)b = a
U2 = a+(2-1)b = a+b
U3 = a+(3-1)b = a+2b
dst
Un-1 = a+(n-1-1)b = a+(n-2)b
Un = a+(n-1)b
Maka rumus umum Deret Aritmatika dapat diperoleh sebagai berikut:
Sn = U1 + U2 + U3 + … + Un-1 + Un
atau
Contoh soal:
Dalam sebuah barisan aritmatika diketahui suku kedua adalah 5 dan suku kelima adalah 14. Maka berapakah jumlah 10 suku pertama dari barisan aritmatika tersebut ?
Pembahasan:
Diketahui:
⇒ U2 = 5
⇒ a + b = 5
⇒ a = 5 - b....... (Persamaan 1)
⇒ U5 = 14
⇒ a + 4b = 14........ (Persamaan 2)
Substitusi Persamaan 1 ke Persamaan 2
⇒ a + 4b = 14
⇒ 5 - b + 4b = 14
⇒ 3b = 9
⇒ b = 3
Jadi a = 5 -b
⇒ a = 5 - 3 = 2
Sehinggau jumlah10 suku pertama:
⇒ Sn= n/2 (2a+(n-1)b)
⇒ S10= 10/2 (2.2+(10-1)3)
⇒ S10= 5 (4 + 9.3)
⇒ S10= 5 (4 + 27)
⇒ S10= 5(31)
⇒ S10= 155
Jadi jumlah 10 suku pertama barisan aritmatika di atas adalah 155.
Latihan Soal:
Diketahui suatu suku ke-4 dan suku ke-9 dari barisan aritmatika adalah 16 dan 51. Tentukan jumlah 30 suku pertama dari barisan tersebut!
Silahkan tulis jawab anda di kolom komentar dengan melampirkan Nama, Kelas dan Asal Sekolah!
Reviewed by TARBIYAH SYAMILAH
on
6:06 PM
Rating:







Nama : Muhammad Rayhan Juliansyah
ReplyDeleteKelas : XI MIPA 1
Jawaban : Jadi jumlah 30 suku pertama barisan aritmatika tersebut adalah 2.895
Nama: Suci Amelia
ReplyDeleteKelas: XI.Mipa 3
Jawaban:
Jumlah dari 30 suka pertama adalah U30= 2.895
Nama: Meiza Fasya
ReplyDeleteKelas: XI IPA 3
Jawaban:
jumlah 30 suku pertama barisan aritmatika adalah 2.895
Nama : Risty Sapitri
ReplyDeleteKelas: XI Mipa 3
Jawaban
Jadi jumlah 30 suku pertama barisan aritmatika di atas adalah 2.895
Nama: Indah Zahrani
ReplyDeleteKelas: XI MIPA 1
Jawaban : Jadi jumlah 30 suku pertama barisan aritmatika tersebut adalah 2.895
Nama : Deka Yulistri
ReplyDeleteKelas : XI MIPA 3
Jadi jumlah 30 suku pertama barisan aritmatika diatas adalah 2.895
Nama : Armila
ReplyDeleteKelas : XI MIPA 3
Jawaban : Jadi jumlah 30 suku pertama barisan aritmatika tersebut adalah 2.895
Nama : Arma Amelia
ReplyDeleteKelas : XI MIPA 1
Jawaban : Jadi jumlah 30 suku pertama barisan aritmatika tersebut adalah 2.895
Nama : Luthfia Fairuz
ReplyDeleteKelas : XI MIPA 1
Jawaban : Jadi jumlah 30 suku pertama barisan aritmatika tersebut adalah 2.895
Nama: Riski Amelia
ReplyDeleteKelas: XI IPA 2
Jawaban:
jumlah 30 suku pertama barisan aritmatika adalah 2.895
Nama : Ahmad Bayu Al Farizi
ReplyDeleteKelas : XI MIPA 2
Jawaban : Jadi jumlah 30 suku pertama barisan aritmatika tersebut adalah 2.895
Nama : Bagus Satrio
ReplyDeleteKelas : XI MIPA 3
Jawaban : Jadi jumlah 30 suku pertama barisan aritmatika tersebut adalah 2.895
Nama: Israndi
ReplyDeleteKelas: XI MIPA 3
Jawaban:
jumlah 30 suku pertama barisan aritmatika adalah 2.895
Nama : Sri Liandari
ReplyDeleteKelas: XI Mipa 2
Pembahasan:
Jadi jumlah 30 suku pertama barisan aritmatika tersebut adalah 2.895
Nama: Rinda oktaviani
ReplyDeleteKelas: XI.Mipa 3
Jawaban:
Jumlah dari 30 suka pertama adalah U30= 2.895
Nama : Neli Agustin
ReplyDeleteKelas : XI MIPA 3
Jawaban:
Jadi jumlah 30 suku pertama barisan aritmatika diatas adalah 2.895
Nama : Neli Agustin
ReplyDeleteKelas : XI MIPA 3
Jawaban:
Jadi jumlah 30 suku pertama barisan aritmatika diatas adalah 2.895
Nama : Neli Agustin
ReplyDeleteKelas : XI MIPA 3
Jawaban:
Jadi jumlah 30 suku pertama barisan aritmatika diatas adalah 2.895
Nama : Arni Gusmiarni
ReplyDeleteKelas: XI Mipa 3
Jawab :
Jadi jumlah 30 suku pertama barisan aritmatika diatas adalah 2.895.
Nama : Keke Kinanti Putri
ReplyDeleteKelas: XI Mipa 3
Jawaban
Jadi jumlah 30 suku pertama barisan aritmatika di atas adalah 2.895
Nama : Dia Listika Ayu
ReplyDeleteKelas: XI Mipa 2
Pembahasan:
Jadi jumlah 30 suku pertama barisan aritmatika tersebut adalah 2.895
ReplyDeleteNama : Widiya Sari
Kelas : XI MIPA 1
Jawaban : Jadi jumlah 30 suku pertama barisan aritmatika tersebut adalah 2.895
Nama: Syaza Najwa
ReplyDeleteKelas: XI MIPA 1
Jawaban:
Jadi jumlah 30 suku pertama barisan aritmatika tersebut adalah 2.895
Nama : Zheline mey
ReplyDeleteKelas : XI MIPA 1
Jawaban : Jadi jumlah 30 suku pertama barisan aritmatika tersebut adalah 2.895
Nama : Chandra Wiazah
ReplyDeleteKelas : XI MIPA 1
Jawaban : Jadi jumlah 30 suku pertama barisan aritmatika tersebut adalah 2.895
Nama : Elza Leviana
ReplyDeleteKelas : XI MIPA 2
Jawaban : Jadi jumlah 30 suku pertama barisan aritmatika tersebut adalah 2.895
Nama: Mirza Tuljannah
ReplyDeleteKelas: Xl. MlpM.3
Jawaban : Jadi jumlah 30 suku pertama barisan aritmatika tersebut adalah 2.895
Nama : SUCI AMALIA
ReplyDeleteKelas : XI MIPA 1
Jawaban : Jadi jumlah 30 suku pertama barisan aritmatika tersebut adalah 2.895
Nama: Pretia Sari
ReplyDeleteKelas: XI MIPA 3
KESIMPULAN JAWABAN:
jumlah 30 suku pertama barisan aritmatika = 2.895
Nama: Pretia Sari
ReplyDeleteKelas: XI MIPA 3
KESIMPULAN JAWABAN:
jumlah 30 suku pertama barisan aritmatika = 2.895
Nama : Yuniarti
ReplyDeleteKelas : XI MIPA 3
Jawaban : Jadi jumlah 30 suku pertama barisan aritmatika tersebut adalah 2.895
Nama : Putri Oktarini
ReplyDeleteKelas : XI. Mipa 1
Jawaban : Jadi, jumlah 30 suku pertama barisan aritmatika tersebut adalah 2.895
Nama: Fuspita Ulandari
ReplyDeleteKelas: XI MIPA 3
JAWABAN:
jumlah 30 suku pertama barisan aritmatika adalah 2.895
Nama : Ismania
ReplyDeleteKelas : XI MIPA 3
Jawab.
Jumlah 30 suku pertama barisan aritmatika yaitu 2.895
Nama : Safa Nur'Aisyiyah
ReplyDeleteKelas : XI. MIPA 2
Jawaban :
Jadi, jumlah 30 suku pertama barisan aritmatika tersebut adalah 2.895
Nama : Fazle Maula
ReplyDeleteKelas : XI.MIPA.1.
Jawaban :
Jadi, jumlah 30 suku pertama barisan aritmatika tersebut adalah 2.895
Nama: Nur Pajariah
ReplyDeleteKelas: XI MIPA 3
Jawaban:
Jadi, jumlah 30 suku pertama barisan aritmatika adalah 2.895
Nama: Raden Ayu Dera Triningsih
ReplyDeleteKelas : XI IPA 2
Jawaban : Jadi jumlah 30 suku pertama barisan aritmatika tersebut adalah 2.895
ReplyDeleteNama : Dea Lepiah
Kelas : XI MIPA 3
Jawaban : Jadi jumlah 30 suku pertama barisan aritmatika tersebut adalah 2.895
Nama : Bunga Wahyuni Lestari
ReplyDeleteKelas : XI Mipa 3
KESIMPULAN JAWABAN:
jumlah 30 suku pertama barisan aritmatika = 2.895
Nama : Andi Saputra
ReplyDeleteKelas : XI MIPA 3
Jawab.
Jumlah 30 suku pertama barisan aritmatika yaitu 2.895
Nama : Ummul Muthmainnah
ReplyDeleteKelas : XI MIPA 1
Jawaban : Jadi jumlah 30 suku pertama barisan aritmatika tersebut adalah 2.895
Nama : Ayu Maharani
ReplyDeleteKelas : XI MIPA 1
Jawaban :
Jadi jumlah 30 suku pertama barisan Aritmatika tersebut adalah 2.895
Nama :Vira Fitriani
ReplyDeleteKelas : XI MIPA 1
Jawaban : Jadi jumlah 30 suku pertama barisan aritmatika tersebut adalah 2.895
Nama : ZULIA
ReplyDeleteKelas : XI MIPA 1
Jawaban : Jadi jumlah 30 suku pertama barisan aritmatika tersebut adalah 2.895
Nama : Annisa Syafitri
ReplyDeleteKelas : XI MIPA 1
Jawaban : Jadi jumlah 30 suku pertama barisan aritmatika tersebut adalah 2.895
Nama : Arga Ghiffary Akbar
ReplyDeleteKelas : XI MIPA 1
Jawaban : Jadi jumlah 30 suku pertama barisan aritmatika tersebut adalah 2.895
Nama : AgungPratama
ReplyDeleteKelas : XI MIPA 3
Jawaban : Jadi jumlah 30 suku pertama barisan aritmatika tersebut adalah 2.895
Nama: Siti Diva Indriani
ReplyDeleteKelas: XI IPA 2
Jawaban:
jumlah 30 suku pertama barisan aritmatika adalah 2.895
Nama : Chandra Wilazah
ReplyDeleteKelas : XI MIPA 1
Jawaban : Jadi jumlah 30 suku pertama barisan aritmatika tersebut adalah 2.895
Nama: Hignilam
ReplyDeleteKelas : Xl MIPA 1
Jawaban:
jumlah 30 suku pertama barisan aritmatika adalah 2.895
Nama : Fara Ramadani
ReplyDeleteKelas : XI. MIPA 1
JAWABAN:
Jadi jumlah 30 suku pertama barisan aritmatika tersebut adalah 2.895
Nama : Ahmad Arizki
ReplyDeleteKelas : XI MIPA 3
Jawaban : Jadi jumlah 30 suku pertama barisan aritmatika tersebut adalah 2.895
Nama : Rahayu Marlinda
ReplyDeleteKelas: XI Mipa 1
Pembahasan:
Jadi jumlah 30 suku pertama barisan aritmatika tersebut adalah 2.895
Nama: Vira Fitriani
ReplyDeleteKelas: XI MIPA 1
Jawaban:
Jadi jumlah 30 suku pertama barisan aritmatika tersebut adalah 2.895
Nama : Nur Asnabila
ReplyDeleteKelas: XI Mipa 2
Pembahasan:
Jadi jumlah 30 suku pertama barisan aritmatika tersebut adalah 2.895
Nama: Aqila Amalia
ReplyDeleteKelas: XI MIPA 1
Jawaban:
Jadi jumlah 30 suku pertama barisan aritmatika tersebut adalah 2.895
Nama : Mezi Meilina
ReplyDeleteKelas : XI MIPA 2
Jawaban : Jadi jumlah 30 suku pertama barisan aritmatika tersebut adalah 2.895
Nama : Alvin Hidayat
ReplyDeleteKelas : XI MIPA 1
Jawaban : Jadi jumlah 30 suku pertama barisan aritmatika tersebut adalah 2.895
Reply
Nama : Reza Fahlefi Prasojo Ardi
ReplyDeleteKelas : XI MIPA 2
Jawaban : Jadi jumlah 30 suku pertama barisan aritmatika tersebut adalah 2.895
Nama : Bagus safutra
ReplyDeleteKelas : XI MIPA 2
Jawaban :
Jadi jumlah 30 suku pertama barisan aritmatika tersebut adalah 2.895
Nama : Ummul Padlah
ReplyDeleteKelas : XI MIPA 2
Jawaban : Jadi jumlah 30 suku pertama barisan aritmatika tersebut adalah 2.895
Nama: Anggi Kirana
ReplyDeleteKelas: XI. Mipa2
Jawaban:
Jadi jumlah 30 suku pertama barisan aritmatika tersebut adalah 2.895
Nama : Tesa
ReplyDeleteKelas : XI MIPA 1
Jawaban : Jadi jumlah 30 suku pertama barisan aritmatika tersebut adalah 2.895
Nama : Tesa
ReplyDeleteKelas : XI MIPA 1
Jawaban : Jadi jumlah 30 suku pertama barisan aritmatika tersebut adalah 2.895
Nama : Rizky Fitrah Pratama
ReplyDeleteKelas : XI MIPA 1
Jawaban : Jadi jumlah 30 suku pertama barisan aritmatika tersebut adalah 2.895
Nama : Dinda Audina Rahmah
ReplyDeleteKelas : XI MIPA 2
Jawaban :
Jadi jumlah 30 suku pertama barisan aritmatika tersebut adalah 2.895
Nama: Lestia Lestari
ReplyDeleteKelas: XI MIPA 3
JAWABAN:
jumlah 30 suku pertama barisan aritmatika adalah 2.895
Nama : Fakhri Sepriansyah
ReplyDeleteKelas : XI MIPA 3
Jawaban:
Jadi jumlah 30 suku pertama barisan aritmatika tersebut adalah 2.895
Nama : Ahmad Azri Jundi
ReplyDeleteKelas : XI Mipa 3
KESIMPULAN JAWABAN:
Jadi jumlah 30 suku pertama barisan aritmatika tersebut adalah 2.895
Nama : Trianda
ReplyDeleteKelas : XI MIPA 3
Jawaban :
Jadi jumlah 30 suku pertama barisan aritmatika tersebut adalah 2.895
Nama : Guntur
ReplyDeleteKelas : XI MIPA 1
Jawaban : Jadi jumlah 30 suku pertama barisan aritmatika tersebut adalah 2.895
Nama: Yosan Olegam
ReplyDeleteKelas : XI MIPA 2
Jawaban : Jadi jumlah 30 suku pertama barisan aritmatika tersebut adalah 2.895
Nama : Finkah Sabillah
ReplyDeleteKelas : XI MIPA 1
Jawaban : Jadi jumlah 30 suku pertama barisan aritmatika tersebut adalah 2.895
Nama: Femi Febriyanti
ReplyDeleteKelas : XI MIPA 2
Jawaban : Jadi jumlah 30 suku pertama barisan aritmatika tersebut adalah 2.895
Nama : Awaldi
ReplyDeleteKelas : XI MIPA 3
Jadi jumlah 30 suku pertama barisan aritmatika diatas adalah 2.895
Nama : ANGGUN PUTRI MAHARANI
ReplyDeleteKelas : XI MIPA 1
Jawaban : Jadi jumlah 30 suku pertama barisan aritmatika tersebut adalah 2.895
Nama : M.Vaizul Barokah
ReplyDeleteKelas : XI MIPA 1
Jawaban : Jadi jumlah 30 suku pertama barisan aritmatika tersebut adalah 2.895
Nama : Hikari Auva Rafiqi
ReplyDeleteKelas: XI MIPA 1
Jawaban : Jadi jumlah 30 suku pertama barisan aritmatika tersebut adalah 2.895
Nama:Imelda
ReplyDeleteKelas:Xl MIPA 2
Jawaban : Jadi jumlah 30 suku pertama barisan aritmatika tersebut adalah 2.895
Nama : Meisindri
ReplyDeleteKelas : Xl MIPA 2
Jawaban : Jadi jumlah 30 suku pertama barisan aritmatika tersebut adalah 2.895
Nama : M Rian
ReplyDeleteKelas : XI MIPA 2
Jawaban : Jadi jumlah 30 suku pertama barisan aritmatika tersebut adalah 2.895
Nama: Deva ahda
ReplyDeleteKelas: XI IPA 2
Jawaban:
jumlah 30 suku pertama barisan aritmatika adalah 2.895
Nama:Roudhotul jannah
ReplyDeleteKelas:Xl.MIPA 2
Jawaban : Jadi jumlah 30 suku pertama barisan aritmatika tersebut adalah 2.895
Nama : Mutiara Safitri
ReplyDeleteKelas: XI MIPA 1
Jawaban : Jadi jumlah 30 suku pertama barisan aritmatika tersebut adalah 2.895
Nama : M. Tri Riansyah
ReplyDeleteKelas: XI MIPA 1
Jawaban : Jadi jumlah 30 suku pertama barisan aritmatika tersebut adalah 2.895
Nama : Muhammad Rizki Akbar
ReplyDeleteKelas: XI MIPA 2
Jawaban : Jadi jumlah 30 suku pertama barisan aritmatika tersebut adalah 2.895
Nama : Meldawati
ReplyDeleteKelas : XI IPS 3
Jawaban : Jadi jumlah 30 suku pertama barisan aritmatika tersebut adalah 2.895
Nama : Mutia Febrian
ReplyDeleteKelas : XI MIPA 2
Jawaban : Jadi jumlah 30 suku pertama barisan aritmatika tersebut adalah 2.895
Nama : Mutiara safitri
ReplyDeleteKelas : XI MIPA 1
Jawaban : Jadi jumlah 30 suku pertama barisan aritmatika tersebut adalah 2.895
Nama: Inda Tariska
ReplyDeleteKelas: XI MIPA 3
Jawaban:
Jadi jumlah 30 suku pertama barisan aritmatika tersebut adalah 2.895